FAQ

We answer the most frequently asked questions. Don't worry if you can't find the right question. You can contact our support directly.

October

Three channels are available:

(1) All branches of Krung Thai Bank Public Limited (fee 15 THB)

(2) All banks can scan barcodes through the Bank App (free of charge)

(3) Department of Science and Services (Tua Building, Finance Counter, Treasury Department) by cash or cheque of the company. Payment on behalf of “Department of Science and Services” (only accepts bank cheques in Bangkok and suburbs) by the date in the cheque must not exceed 15 days from the date of payment of the order.

Case 1: Payment made through the Department of Science Service's financial counter. You can receive a receipt on the payment date.

Case 2: Payment made through the Krung Thai Bank counter and the bank's application. The Department of Science Service's financial department will send the receipt within 2 weeks via Thailand Post. Customers can request a tracking number from the Finance Department at 02-201-7082-6.

Users must file a police report, make a daily record, and submit the evidence to request a copy of the receipt at the Finance Counter, Department of Science Service, or send the supporting documents via Thailand Post to (Finance Division, Department of Science Service, 75/7 Rama VI Road, Thung Phaya Thai Subdistrict, Ratchathewi District, Bangkok 10400).

The number of laboratories that the center uses to calculate statistical values.

The agency can purchase QC, RM samples with the group to check the laboratory capability by analyzing the z score or accuracy by comparing the result value with the reference sample.

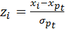
Xi = the participant’s result

Xpt = the assigned value determined in a reference laboratory

σpt = the standard deviation for proficiency testing assessment

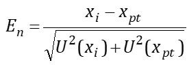
Xi = The participant’s result

Xpt = The assigned value determined in a reference laboratory

U(Xi) = The uncertainty of laboratory result at 95% confidence level

U(Xpt) = The uncertainty of assigned value at 95% confidence level (k = 2)